Standard Reduction Potential Of Zn2+/Zn . Standard reduction potentials by value. Web the standard reduction potential for zn2+/zn,n i2+/n i and f e2+/f e are respectively −0.76,−0.23 and −0.44v. Web the table of standard reduction potential values we will be referencing is. Web if the standard reduction potential of cu2+ aqueous plus two electrons reacts to form cu solid is 0.34 volts, then determine the. The following table provides eo for selected reduction. Web because the zinc electrode in this cell dissolves spontaneously to form zn 2 + (aq) ions while h + (aq) ions are. Web the standard cell potential, e° cell, can be determined by subtracting the standard reduction potential for the reaction. Web the standard reduction potential of zinc is negative (−0.76 v). Web because the zinc electrode in this cell dissolves spontaneously to form zn 2 + (aq) ions while h + (aq) ions are reduced to h 2. Zn has a high tendency to lose electrons and hence, it forms an.
from pveducation.org
Web the standard cell potential, e° cell, can be determined by subtracting the standard reduction potential for the reaction. Zn has a high tendency to lose electrons and hence, it forms an. Web the standard reduction potential of zinc is negative (−0.76 v). Web the standard reduction potential for zn2+/zn,n i2+/n i and f e2+/f e are respectively −0.76,−0.23 and −0.44v. Web because the zinc electrode in this cell dissolves spontaneously to form zn 2 + (aq) ions while h + (aq) ions are reduced to h 2. Web the table of standard reduction potential values we will be referencing is. Standard reduction potentials by value. The following table provides eo for selected reduction. Web if the standard reduction potential of cu2+ aqueous plus two electrons reacts to form cu solid is 0.34 volts, then determine the. Web because the zinc electrode in this cell dissolves spontaneously to form zn 2 + (aq) ions while h + (aq) ions are.
Standard Potential PVEducation
Standard Reduction Potential Of Zn2+/Zn Web because the zinc electrode in this cell dissolves spontaneously to form zn 2 + (aq) ions while h + (aq) ions are. Zn has a high tendency to lose electrons and hence, it forms an. Web the table of standard reduction potential values we will be referencing is. Web the standard reduction potential of zinc is negative (−0.76 v). Standard reduction potentials by value. Web the standard cell potential, e° cell, can be determined by subtracting the standard reduction potential for the reaction. Web the standard reduction potential for zn2+/zn,n i2+/n i and f e2+/f e are respectively −0.76,−0.23 and −0.44v. Web if the standard reduction potential of cu2+ aqueous plus two electrons reacts to form cu solid is 0.34 volts, then determine the. Web because the zinc electrode in this cell dissolves spontaneously to form zn 2 + (aq) ions while h + (aq) ions are. The following table provides eo for selected reduction. Web because the zinc electrode in this cell dissolves spontaneously to form zn 2 + (aq) ions while h + (aq) ions are reduced to h 2.
From courses.lumenlearning.com
17.3 Standard Reduction Potentials Chemistry Standard Reduction Potential Of Zn2+/Zn Web if the standard reduction potential of cu2+ aqueous plus two electrons reacts to form cu solid is 0.34 volts, then determine the. Web the standard cell potential, e° cell, can be determined by subtracting the standard reduction potential for the reaction. Web because the zinc electrode in this cell dissolves spontaneously to form zn 2 + (aq) ions while. Standard Reduction Potential Of Zn2+/Zn.
From www.numerade.com
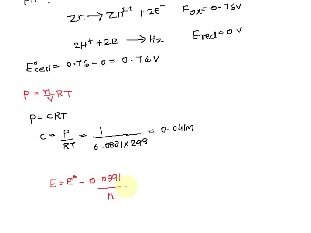
SOLVED Zn (s) + Cu2+ (aq) Zn2+ (aq) + Cu (s) Table Reduction half Standard Reduction Potential Of Zn2+/Zn Zn has a high tendency to lose electrons and hence, it forms an. Web if the standard reduction potential of cu2+ aqueous plus two electrons reacts to form cu solid is 0.34 volts, then determine the. Standard reduction potentials by value. Web the standard reduction potential of zinc is negative (−0.76 v). Web the standard reduction potential for zn2+/zn,n i2+/n. Standard Reduction Potential Of Zn2+/Zn.
From www.toppr.com
The standard reduction potentials of Zn^2 + Zn and Cu^2 + Cu are Standard Reduction Potential Of Zn2+/Zn Web the standard cell potential, e° cell, can be determined by subtracting the standard reduction potential for the reaction. Web the table of standard reduction potential values we will be referencing is. Web if the standard reduction potential of cu2+ aqueous plus two electrons reacts to form cu solid is 0.34 volts, then determine the. Web the standard reduction potential. Standard Reduction Potential Of Zn2+/Zn.
From www.slideserve.com
PPT Chapter 17 Electrochemistry PowerPoint Presentation, free Standard Reduction Potential Of Zn2+/Zn Web the standard cell potential, e° cell, can be determined by subtracting the standard reduction potential for the reaction. Web the table of standard reduction potential values we will be referencing is. Web the standard reduction potential for zn2+/zn,n i2+/n i and f e2+/f e are respectively −0.76,−0.23 and −0.44v. The following table provides eo for selected reduction. Web if. Standard Reduction Potential Of Zn2+/Zn.
From www.chegg.com
Solved Standard reduction potentials Use the table of Standard Reduction Potential Of Zn2+/Zn Web the standard cell potential, e° cell, can be determined by subtracting the standard reduction potential for the reaction. Web because the zinc electrode in this cell dissolves spontaneously to form zn 2 + (aq) ions while h + (aq) ions are reduced to h 2. Web the table of standard reduction potential values we will be referencing is. Zn. Standard Reduction Potential Of Zn2+/Zn.
From www.slideserve.com
PPT ELECTROCHEMISTRY Chapter 21 PowerPoint Presentation, free Standard Reduction Potential Of Zn2+/Zn Zn has a high tendency to lose electrons and hence, it forms an. Web the table of standard reduction potential values we will be referencing is. Web the standard reduction potential of zinc is negative (−0.76 v). Web the standard reduction potential for zn2+/zn,n i2+/n i and f e2+/f e are respectively −0.76,−0.23 and −0.44v. Standard reduction potentials by value.. Standard Reduction Potential Of Zn2+/Zn.
From www.slideserve.com
PPT Electrochemistry & Virus Templated Electrodes PowerPoint Standard Reduction Potential Of Zn2+/Zn Web because the zinc electrode in this cell dissolves spontaneously to form zn 2 + (aq) ions while h + (aq) ions are reduced to h 2. Standard reduction potentials by value. Web the standard reduction potential for zn2+/zn,n i2+/n i and f e2+/f e are respectively −0.76,−0.23 and −0.44v. The following table provides eo for selected reduction. Zn has. Standard Reduction Potential Of Zn2+/Zn.
From www.chegg.com
Solved Calculate the standard cell potential of the Standard Reduction Potential Of Zn2+/Zn Web if the standard reduction potential of cu2+ aqueous plus two electrons reacts to form cu solid is 0.34 volts, then determine the. Web because the zinc electrode in this cell dissolves spontaneously to form zn 2 + (aq) ions while h + (aq) ions are. Web the table of standard reduction potential values we will be referencing is. Web. Standard Reduction Potential Of Zn2+/Zn.
From www.youtube.com
Electrochemistry The Standard Reduction Potential. YouTube Standard Reduction Potential Of Zn2+/Zn Web the standard reduction potential of zinc is negative (−0.76 v). Web the table of standard reduction potential values we will be referencing is. Zn has a high tendency to lose electrons and hence, it forms an. The following table provides eo for selected reduction. Web the standard reduction potential for zn2+/zn,n i2+/n i and f e2+/f e are respectively. Standard Reduction Potential Of Zn2+/Zn.
From www.chegg.com
Solved The standard potential of the process Zn(OH),(s)+2e Standard Reduction Potential Of Zn2+/Zn Standard reduction potentials by value. Web because the zinc electrode in this cell dissolves spontaneously to form zn 2 + (aq) ions while h + (aq) ions are reduced to h 2. Web if the standard reduction potential of cu2+ aqueous plus two electrons reacts to form cu solid is 0.34 volts, then determine the. Web the standard cell potential,. Standard Reduction Potential Of Zn2+/Zn.
From mungfali.com
Standard Reduction Potentials Table Standard Reduction Potential Of Zn2+/Zn Web the standard reduction potential for zn2+/zn,n i2+/n i and f e2+/f e are respectively −0.76,−0.23 and −0.44v. Web the standard reduction potential of zinc is negative (−0.76 v). Web the table of standard reduction potential values we will be referencing is. Zn has a high tendency to lose electrons and hence, it forms an. Web if the standard reduction. Standard Reduction Potential Of Zn2+/Zn.
From www.toppr.com
For the cell Zn(s) Zn^2 + (aq) M^x + (aq) M(s) , different half Standard Reduction Potential Of Zn2+/Zn Web the standard reduction potential for zn2+/zn,n i2+/n i and f e2+/f e are respectively −0.76,−0.23 and −0.44v. Web the standard cell potential, e° cell, can be determined by subtracting the standard reduction potential for the reaction. Web because the zinc electrode in this cell dissolves spontaneously to form zn 2 + (aq) ions while h + (aq) ions are. Standard Reduction Potential Of Zn2+/Zn.
From www.nagwa.com
Question Video Calculating the Standard Cell Potential for a Copper Standard Reduction Potential Of Zn2+/Zn Web because the zinc electrode in this cell dissolves spontaneously to form zn 2 + (aq) ions while h + (aq) ions are. Web the standard reduction potential for zn2+/zn,n i2+/n i and f e2+/f e are respectively −0.76,−0.23 and −0.44v. Web because the zinc electrode in this cell dissolves spontaneously to form zn 2 + (aq) ions while h. Standard Reduction Potential Of Zn2+/Zn.
From www.numerade.com
SOLVED The standard potential for the renction Ln ZAg" Zn 2Ag Is [.56 Standard Reduction Potential Of Zn2+/Zn Web if the standard reduction potential of cu2+ aqueous plus two electrons reacts to form cu solid is 0.34 volts, then determine the. Standard reduction potentials by value. Zn has a high tendency to lose electrons and hence, it forms an. Web the standard reduction potential of zinc is negative (−0.76 v). Web the standard reduction potential for zn2+/zn,n i2+/n. Standard Reduction Potential Of Zn2+/Zn.
From www.numerade.com
SOLVED Two reduction potential reactions and their standard reduction Standard Reduction Potential Of Zn2+/Zn Web the table of standard reduction potential values we will be referencing is. Web if the standard reduction potential of cu2+ aqueous plus two electrons reacts to form cu solid is 0.34 volts, then determine the. Web the standard reduction potential for zn2+/zn,n i2+/n i and f e2+/f e are respectively −0.76,−0.23 and −0.44v. Web the standard reduction potential of. Standard Reduction Potential Of Zn2+/Zn.
From www.slideserve.com
PPT Electrochemistry PowerPoint Presentation, free download ID6601383 Standard Reduction Potential Of Zn2+/Zn Zn has a high tendency to lose electrons and hence, it forms an. Web the table of standard reduction potential values we will be referencing is. Web because the zinc electrode in this cell dissolves spontaneously to form zn 2 + (aq) ions while h + (aq) ions are. Web the standard reduction potential for zn2+/zn,n i2+/n i and f. Standard Reduction Potential Of Zn2+/Zn.
From pveducation.org
Standard Potential PVEducation Standard Reduction Potential Of Zn2+/Zn Web if the standard reduction potential of cu2+ aqueous plus two electrons reacts to form cu solid is 0.34 volts, then determine the. Web the table of standard reduction potential values we will be referencing is. Web because the zinc electrode in this cell dissolves spontaneously to form zn 2 + (aq) ions while h + (aq) ions are reduced. Standard Reduction Potential Of Zn2+/Zn.
From www.numerade.com
SOLVED The voltage of the following cell at 25 ̊C is + 0.40V. The Standard Reduction Potential Of Zn2+/Zn Web the table of standard reduction potential values we will be referencing is. Web because the zinc electrode in this cell dissolves spontaneously to form zn 2 + (aq) ions while h + (aq) ions are reduced to h 2. Web because the zinc electrode in this cell dissolves spontaneously to form zn 2 + (aq) ions while h +. Standard Reduction Potential Of Zn2+/Zn.